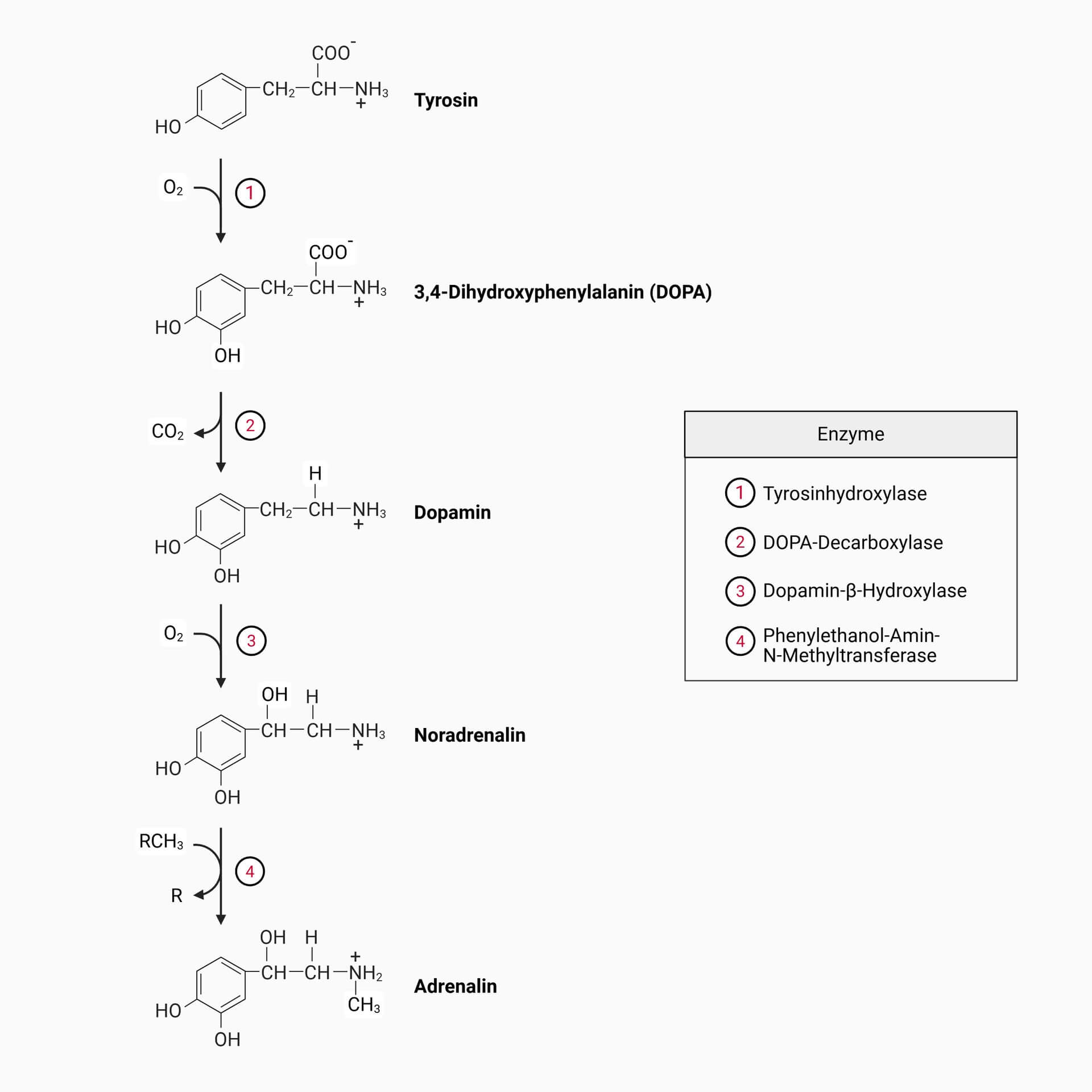
Synthese der Katecholamine
Erstellt mit
BioRender.com
; lizenziert unter
CC BY-NC-SA 3.0