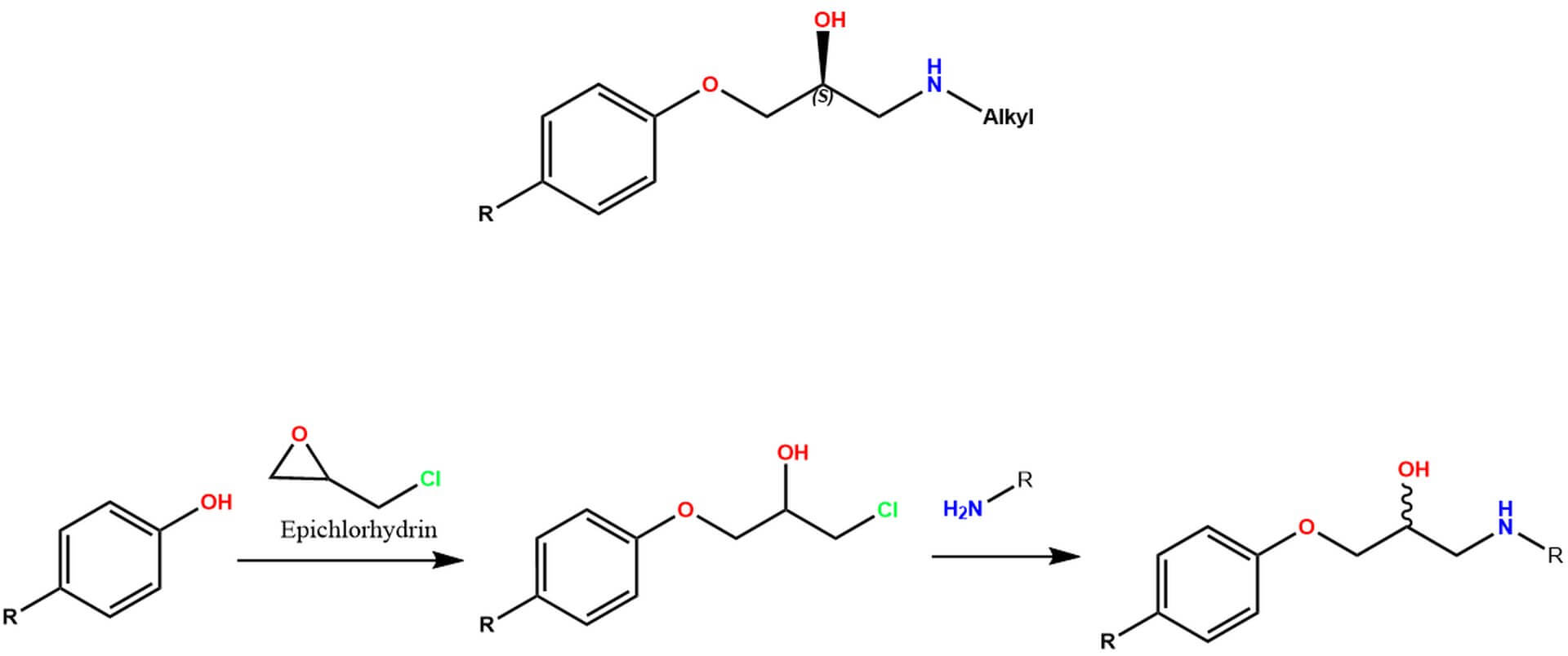
Oben: Allgemeine Strukturformel der Betablocker. R steht für einen beliebigen Rest und Alkyl steht für einen Alkylsubstitutenten. Unten: Schematische Darstellung der Synthese der Betablocker. Die Synthese erfolgt ausgehend vom Phenol, das mit Epichlorhydrin umgesetzt wird. Das hierbei entstehende Alkylchlorid wird mit einem Amin zum Betablocker umgesetzt.