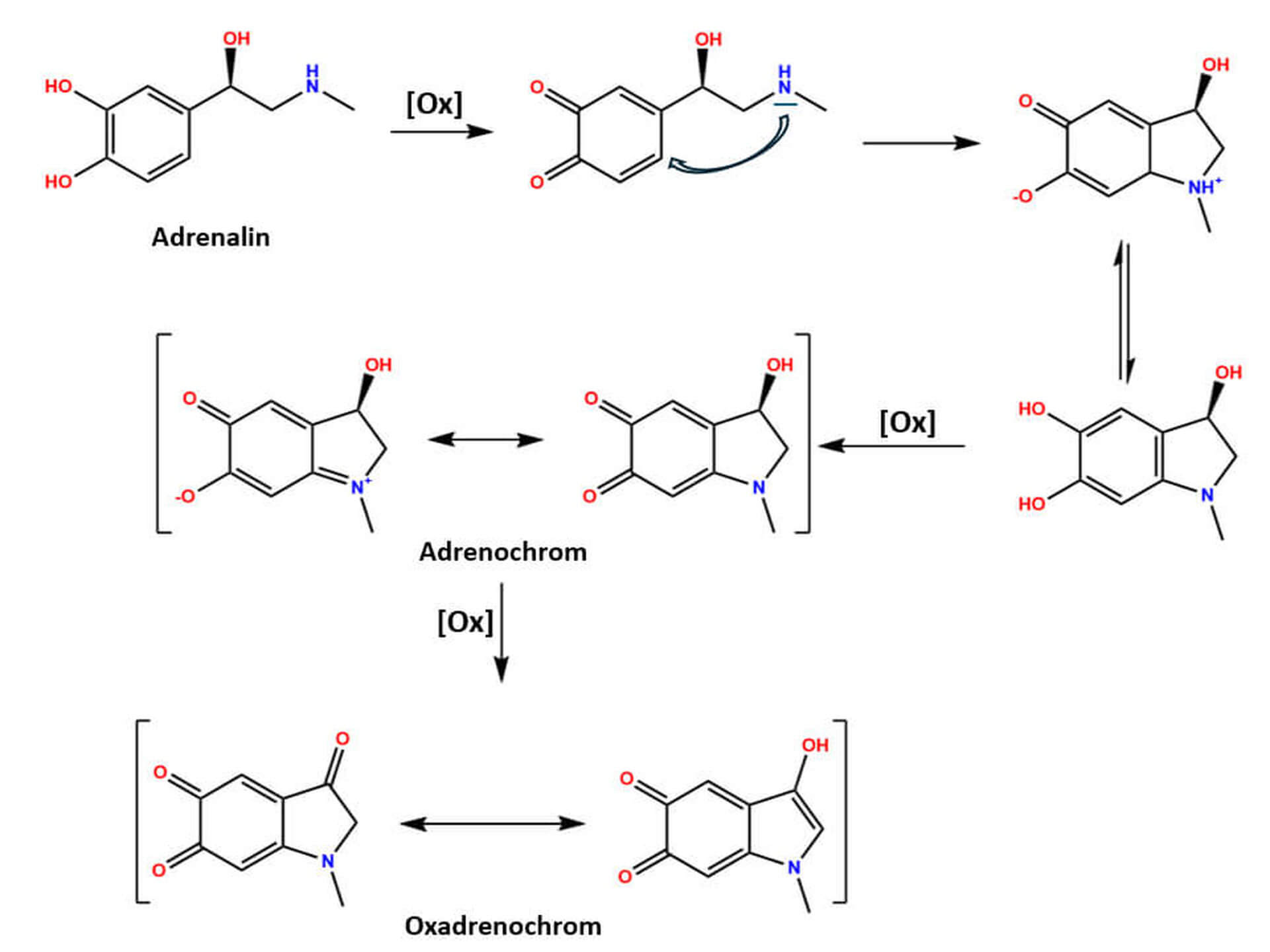
Adrenochrom-Reaktion
Ablauf und Mechanismus der Adrenochromreaktion (Oxidation von Adrenalin zu Adrenochrom)